-
2024-07-25
-
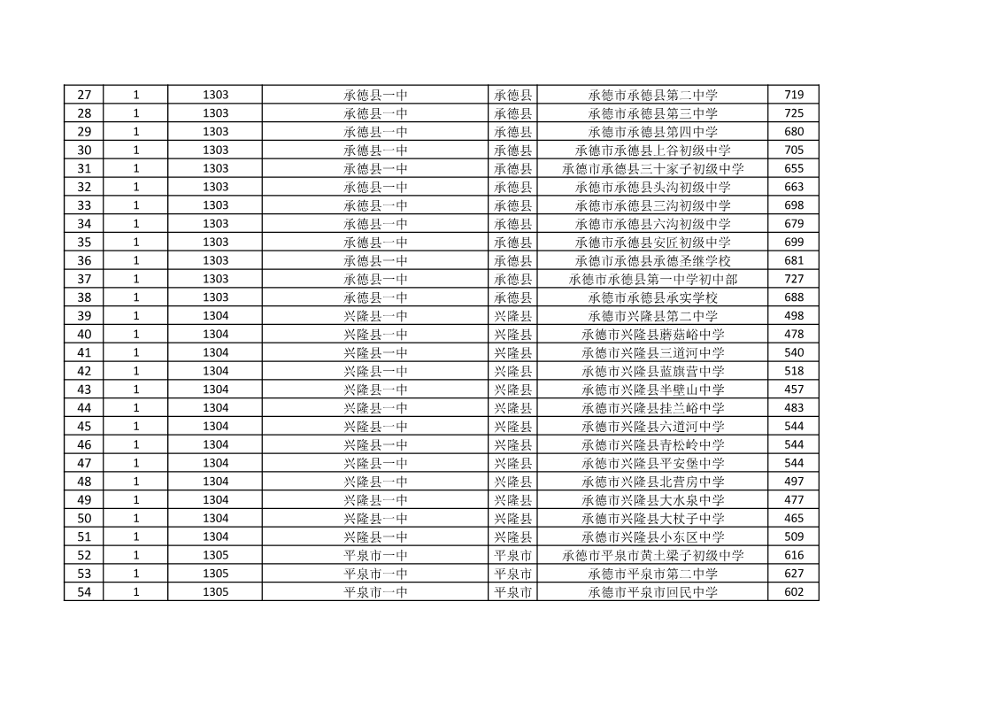
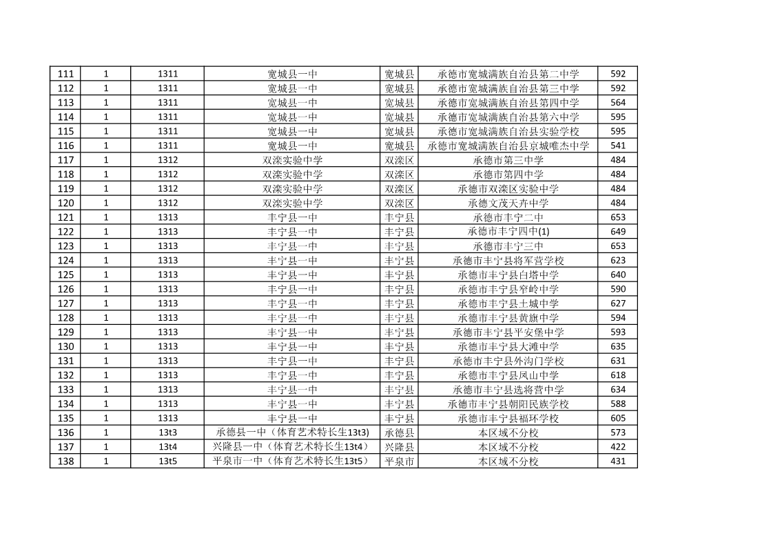
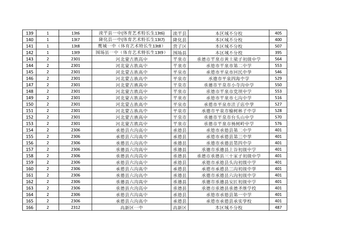
2025年河北承德普通高中招生录取情况及最低控制分数线(面向本区域部分)
2025-08-03
-
2025年江西新余市渝水考区重点建设高中和一般高中录取分数线
2025-08-03
-
2025-08-03
-
2025年辽宁沈阳高中阶段学校招生第一批次学校艺术类美术(绘画)特长生录取最低分数线
2025-08-03
更新:2025-08-03 22:00:02来源:承德中考招生服务电子平台
2024-07-25
2025年河北承德普通高中招生录取情况及最低控制分数线(面向本区域部分)
2025-08-03
2025年江西新余市渝水考区重点建设高中和一般高中录取分数线
2025-08-03
2025-08-03
2025年辽宁沈阳高中阶段学校招生第一批次学校艺术类美术(绘画)特长生录取最低分数线
2025-08-03









“2025年河北承德普通高中招生录取情况及最低控制分数线(面向本区域部分)” 由易学网收集于互联网或用户投稿,仅供参考,具体以教育考试院或学校官网发布为准!如有侵权,请联系站长删除。